Expectativas de inflación, prima de riesgo inflacionario y prima de liquidez : una descomposición del break-even inflation para los bonos del gobierno colombiano
Loading...
Borradores de Economía; No. 903
Date published
2015-09-09
Date
2015-09-09
Part of book title
ISSN
ISBN
Document language
spa
Cargando estadísticas...
Las opiniones contenidas en el presente documento son responsabilidad exclusiva de los autores y no comprometen al Banco de la República ni a su Junta Directiva.
The opinions contained in this document are the sole responsibility of the author and do not commit Banco de la República or its Board of Directors.
Abstract
Description
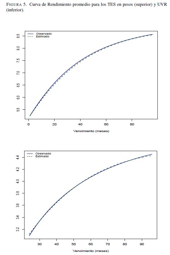
Se estima la descomposición del break-even inflation a partir de un modelo afín de 6 factores de la estructura a términos, nominal y real, de los bonos soberanos de Colombia, dentro de los cuales se incluye un factor asociado a la liquidez. Esta medida se descompone en expectativas de inflación, prima de riesgo inflacionario y prima de liquidez para el periodo comprendido entre 06 de 2004 y 04 de 2015. Los resultados obtenidos indican que el break-even inflation es una medida apropiada de las expectativas de inflación en el corto plazo (2 años). Adicionalmente, se encuentra que la prima de riesgo inflacionario disminuye en el tiempo, lo que se puede deber al aumento de la confianza en la política monetaria por parte de los agentes. Por último, la prima de liquidez toma valores muy pequeños para la 05ría de los períodos de tiempo y sólo tiene efectos considerables durante ciertos episodios a lo largo de la curva de rendimientos, como el ocurrido durante el primer semestre de 2006.
Temática
Keywords
Citation
Collections
Seleccionar año de consulta:

Esta obra está bajo licencia internacional Creative Commons Reconocimiento-NoComercial 4.0.
Este documento ha sido depositado por parte de el(los) autor(es) bajo la siguiente constancia de depósito





