On the stylized facts of nominal exchange rates in Brazil, Chile, Colombia, México and Perú
Loading...
Borradores de Economía; No. 890
Date published
2015-06-11
Date
2015-06-11
Authors
Part of book title
ISSN
ISBN
Document language
spa
Cargando estadísticas...
Las opiniones contenidas en el presente documento son responsabilidad exclusiva de los autores y no comprometen al Banco de la República ni a su Junta Directiva.
The opinions contained in this document are the sole responsibility of the author and do not commit Banco de la República or its Board of Directors.
Abstract
Together with a set of not commonly reported ones, the most widely known stylized facts of high frequency Nominal Exchange Rates in Brazil, Chile, Colombia, Mexico, and Peru with respect to the US Dollar are studied and interpreted to the light of recent
Description
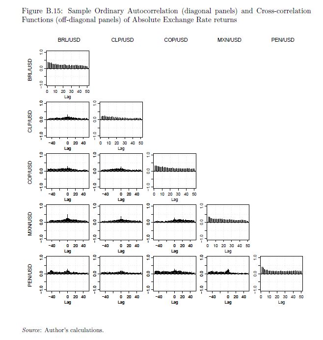
A la luz de literatura reciente en este escrito se interpretan los hechos estilizados más comunes de las tasas de cambio nominales en Chile, Colombia, M exico y Perú con respecto al D olar Norteamericano, y se explora un conjunto no muy conocido de estos hechos. Entre muchos otros hallazgos se encontr o que: (i) las colas de la distribuci on de los retornos ordinarios y absolutos obedecen leyes de potencia inversa, \inverse power laws", un conjunto de regularidades empíricas que ocurren con frecuencia y que parecen surgir de violaciones a los supuestos del Teorema del L mite Central y que se puede interpretar a trav z del \principio de universalidad"; (ii) la suave tendencia sinusoidal de muy largo plazo y el ruido de corto plazo de estas tasas est an dominados por un componente c clico no sim etrico con cambios repentinos de direcci on en Brazil, Chile y Colombia, pero lo opuesto ocurre en los dos pa ses restantes; y (iii) la correlaci on entre los componentes en el dominio del tiempo de distintos pa ses sugiere la existencia de factores comunes que esplican estas tasas y que pueden estar relacionados con "carry trade" y riesgos tiempo dependientes relacionados con el apetito por riesgo de los inversionistas internacionales.
Temática
Keywords
Keywords
Citation
Collections
Seleccionar año de consulta:

Esta obra está bajo licencia internacional Creative Commons Reconocimiento-NoComercial 4.0.
Este documento ha sido depositado por parte de el(los) autor(es) bajo la siguiente constancia de depósito