Rendimientos a escala y rentabilidad en la industria manufacturera colombiana: análisis sectorial
Loading...
Borradores de Economía; No. 21
Date published
1995-02-16
Date
1995-02-16
Authors
Part of book title
ISSN
ISBN
Document language
spa
Cargando estadísticas...
Las opiniones contenidas en el presente documento son responsabilidad exclusiva de los autores y no comprometen al Banco de la República ni a su Junta Directiva.
The opinions contained in this document are the sole responsibility of the author and do not commit Banco de la República or its Board of Directors.
Abstract
Description
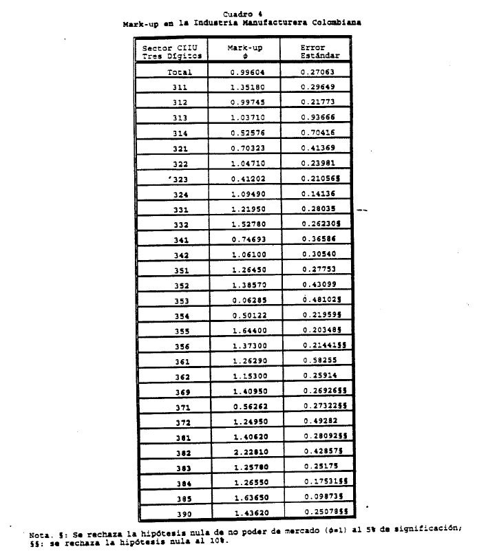
¿Indice la proliferación de firmas en el crecimiento económico? El problema es interesante, pues existe alguna evidencia de que el despegue industrial acelerado se relaciona con la multiplicación de las firmas. Corea del sur , Hong-kong, israel y japon experimentando una explosión de establecimientos manufactureros durante la primera etapa del desarrollo industrial; posteriormente, la proliferación de firmas se ha mantenido aunque un ritmo menos (Ortiz 1993). Una posible explicación de este fenómeno seria que las etapas iniciales de la industrialización o se caracterizan por el desarrollo de sectores económicos cuyas tecnologías experimentan rendimientos decrecientes a escala, de tal manera que la multiplicación de firmas aumenta la tasa de crecimiento económico.
Temática
Keywords
Keywords
Citation
Collections
Seleccionar año de consulta:

Esta obra está bajo licencia internacional Creative Commons Reconocimiento-NoComercial 4.0.
Este documento ha sido depositado por parte de el(los) autor(es) bajo la siguiente constancia de depósito





