Wage differentials across economic sectors in the colombian formal labour market: evidence from a survey of firms
Loading...
Borradores de Economía; No. 629
Date published
2010-11-20
Date
2010-11-20
Part of book title
ISSN
ISBN
Document language
spa
Cargando estadísticas...
Las opiniones contenidas en el presente documento son responsabilidad exclusiva de los autores y no comprometen al Banco de la República ni a su Junta Directiva.
The opinions contained in this document are the sole responsibility of the author and do not commit Banco de la República or its Board of Directors.
Abstract
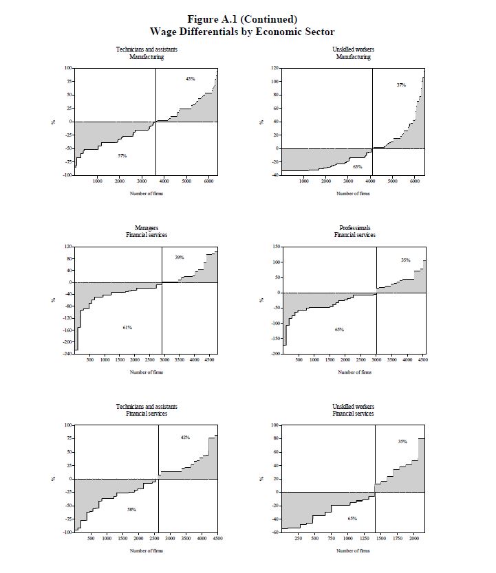
The existence of wage differentials across sectors is a widely observed phenomenon. This paper provides new elements to understand inter and intra-sectoral wage differentials in Colombia by analysing a wage setting survey of 1305 firms and emphasizing the
Description
Temática
Keywords
Keywords
Citation
Collections
Seleccionar año de consulta:

Esta obra está bajo licencia internacional Creative Commons Reconocimiento-NoComercial 4.0.
Este documento ha sido depositado por parte de el(los) autor(es) bajo la siguiente constancia de depósito





