Scale-free tails in colombian financial indexes : a primer
Loading...
Borradores de Economía; No. 812
Date published
2014-03-07
Date
2014-03-07
Authors
Part of book title
ISSN
ISBN
Document language
spa
Cargando estadísticas...
Las opiniones contenidas en el presente documento son responsabilidad exclusiva de los autores y no comprometen al Banco de la República ni a su Junta Directiva.
The opinions contained in this document are the sole responsibility of the author and do not commit Banco de la República or its Board of Directors.
Abstract
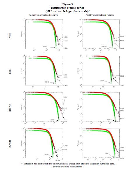
A maximum likelihood method for estimating the power-law exponent verifies that the positive and negative tails of the Colombian stock market index (IGBC) and the Colombian peso exchange rate (TRM) approximate a scale-free distribution, whereas none of th
Description
Temática
Keywords
Keywords
Citation
Collections
Seleccionar año de consulta:

Esta obra está bajo licencia internacional Creative Commons Reconocimiento-NoComercial 4.0.
Este documento ha sido depositado por parte de el(los) autor(es) bajo la siguiente constancia de depósito





