Valor en riesgo de los activos financieros colombianos aplicando la teoria de valor extremo
Loading...
Borradores de Economía; No. 304
Date published
2004-09-07
Date
2004-09-07
Authors
Part of book title
ISSN
ISBN
Document language
spa
Cargando estadísticas...
Las opiniones contenidas en el presente documento son responsabilidad exclusiva de los autores y no comprometen al Banco de la República ni a su Junta Directiva.
The opinions contained in this document are the sole responsibility of the author and do not commit Banco de la República or its Board of Directors.
Abstract
Description
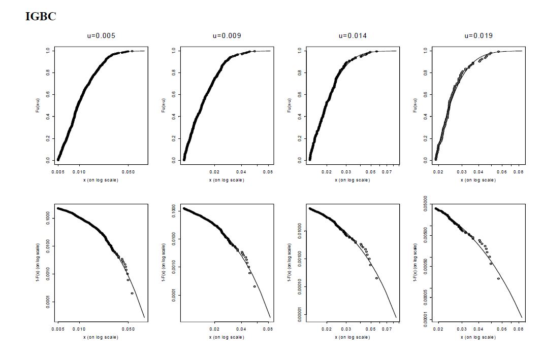
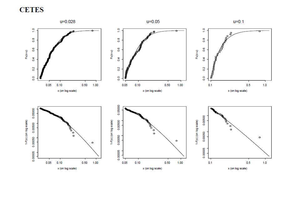
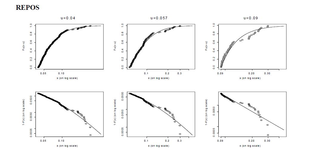
Desde finales de los años 80 el sistema financiero colombiano ha experimentado cambios fundamentales acompañados de una 05r volatilidad del entorno en que se desenvuelve la actividad financiera. Como parte del fortalecimiento de la regulación prudencial, desde el 2000 en Colombia, se está supervisando el riesgo de mercado medido a través del Valor en Riesgo (VeR). El VeR se define como la máxima pérdida potencial en el valor de un activo o portafolio, dada una probabilidad, debido a cambios en los precios del mercado, en un horizonte de tiempo determinado. Para obtener el VeR de un activo generalmente se supone que los retornos siguen una distribución normal, sin embargo existe gran evidencia de que ésta no se ajusta en forma correcta a la serie de retornos financieros. En este estudio se utiliza la teoría de valor extremo (TVE) para obtener el VeR de 6 activos financieros colombianos utilizando el método de Picos sobre un umbral (Peaks over Thresholds (POT)) mostrando que la distribución normal no se ajusta a la distribución de los retornos de los activos colombianos. Se modela de forma satisfactoria la distribución de las series, bajo el supuesto de observaciones independientes e idénticamente distribuidas, especialmente en la parte extrema de la distribución. Se compara el VeR obtenido (VeR TVE) y el VeR bajo el supuesto de distribución normal con los retornos reales dando como resultado un mejor ajuste del VeR de TVE. En el último examen de desempeño, la hipótesis nula de que el modelo realiza una buena estimación es rechazada 11 veces por el método tradicional (distribución normal) mientras que el método de TVE lo hace 6 veces.
JEL Codes
Temática
Keywords
Keywords
Citation
Collections
Seleccionar año de consulta:

Esta obra está bajo licencia internacional Creative Commons Reconocimiento-NoComercial 4.0.
Este documento ha sido depositado por parte de el(los) autor(es) bajo la siguiente constancia de depósito