Modelo de ingreso permanente para la determinación de la cuenta corriente
Loading...
Borradores de Economía; No. 111
Date published
1999-01-12
Date
1999-01-12
Authors
Part of book title
ISSN
ISBN
Document language
spa
Cargando estadísticas...
Las opiniones contenidas en el presente documento son responsabilidad exclusiva de los autores y no comprometen al Banco de la República ni a su Junta Directiva.
The opinions contained in this document are the sole responsibility of the author and do not commit Banco de la República or its Board of Directors.
Abstract
Description
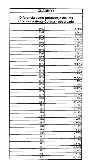
En el presente artículo se presenta una breve descripción de la cuenta corriente en Colombia desde 1950 y posteriormente se analiza la relación entre el consumo privado y la cuenta corriente. Esta relación se analiza mediante un modelo intertemporal de la cuenta corriente derivado a partir de la teoría de ingreso permanente, que permite encontrar los niveles óptimos de la cuenta corriente bajo este enfoque. En este artículo se analiza la cuenta corriente como el ahorro externo de la economía. De acuerdo a la teoría del ingreso permanente el ahorro de la economía debe suavizar los choques transitorios o anticipados al ingreso. El objetivo del trabajo es comprobar si efectivamente la cuenta corriente, durante el periodo 1950-1996, se ha comportado como esta teoría lo predice y, si lo ha hecho, analizar los periodos en que la cuenta corriente observada se ha alejado significativamente de la que la teoría predeciría.
Los modelos intertemporales de la cuenta corriente encuentran un nivel óptimo de la cuenta corriente, de acuerdo a la teoría y bajo los supuestos de economía pequeña y pleno acceso a los capitales. Este nivel es comparado con la trayectoria observada y se puede concluir si el comportamiento de los agentes es óptimo o no, de acuerdo con esta teoría. Se han desarrollado modelos que encuentran la trayectoria óptima de la cuenta corriente teniendo en cuenta las expectativas de los agentes y el conjunto de información disponible, utilizando modelos VAR. Este tipo de análisis se ha realizado para algunos países desarrollados (Sheffrin y Woo, 1990a y 1990b), para Canadá y Estados Unidos (Otto, 1992), para Australia(Cashin y McDermott, 1996), para Francia (Agenor et. al., 1995), para países en vías de desarrollo donde se incluyen algunos resultados para Colombia (Ghosh y Ostry, 1995) y para Colombia (Herrera, 1997). El artículo se dividirá en cinco secciones más, en la primera se presenta una descripción de la cuenta corriente, en la segunda se presenta el modelo, en la tercera se estima, en la cuarta se comprueba su validez y en la quinta se presentan algunas conclusiones.
Temática
Keywords
Keywords
Citation
Collections
Seleccionar año de consulta:

Esta obra está bajo licencia internacional Creative Commons Reconocimiento-NoComercial 4.0.
Este documento ha sido depositado por parte de el(los) autor(es) bajo la siguiente constancia de depósito





