Factores que afectan la tenencia de productos financieros en Colombia
Loading...
Borradores de Economía; No. 978
Date published
2016-12-26
Date
2016-12-26
Part of book title
ISSN
ISBN
Document language
spa
Cargando estadísticas...
Las opiniones contenidas en el presente documento son responsabilidad exclusiva de los autores y no comprometen al Banco de la República ni a su Junta Directiva.
The opinions contained in this document are the sole responsibility of the author and do not commit Banco de la República or its Board of Directors.
Abstract
Description
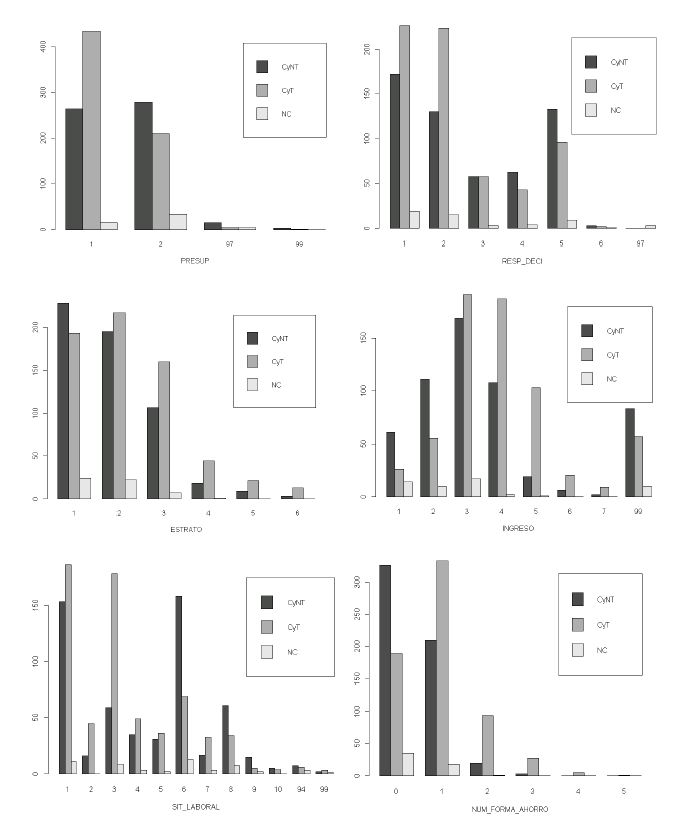
En este trabajo se indaga sobre las variables que determinan que, pese a conocer de la existencia de los productos financieros, las personas decidan no incluirlos en su portafolio de productos y servicios. Con base en los resultados para Colombia de la Encuesta de medición de capacidades financieras en los países andinos de la CAF se estima la dependencia entre la condición de conocimiento y tenencia de productos financieros y las variables relacionadas con las características sociodemográficas del encuestado, las aptitudes financieras de los hogares, entre otras y adicionalmente medir el nivel o la fuerza de asociación entre las mismas. La metodología propuesta es la de tablas de contingencia de dos factores, complementada con modelos de regresión log-lineal, siguiendo lo propuesto por Agresti (2007). Los resultados muestran que no poseer un producto financiero, a pesar de que sabe de su existencia, está relacionado con un nivel bajo de educación, ingresos y con la carencia de un presupuesto, entre otras.
Temática
Keywords
Citation
Collections
Seleccionar año de consulta:

Esta obra está bajo licencia internacional Creative Commons Reconocimiento-NoComercial 4.0.
Este documento ha sido depositado por parte de el(los) autor(es) bajo la siguiente constancia de depósito