Macroeconomic effects of structural fiscal policy changes in Colombia
Loading...
Borradores de Economía; No. 691
Date published
2012-02-15
Date
2012-02-15
Part of book title
ISSN
ISBN
Document language
spa
Cargando estadísticas...
Las opiniones contenidas en el presente documento son responsabilidad exclusiva de los autores y no comprometen al Banco de la República ni a su Junta Directiva.
The opinions contained in this document are the sole responsibility of the author and do not commit Banco de la República or its Board of Directors.
Abstract
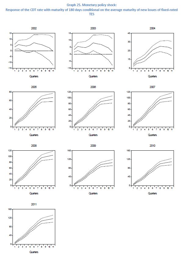
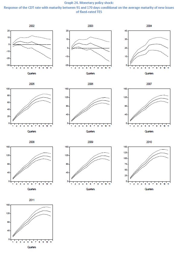
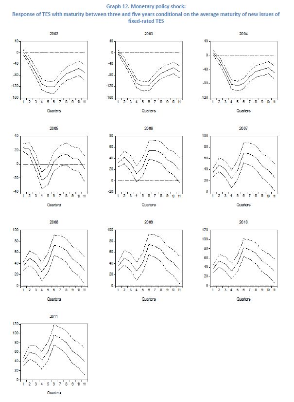
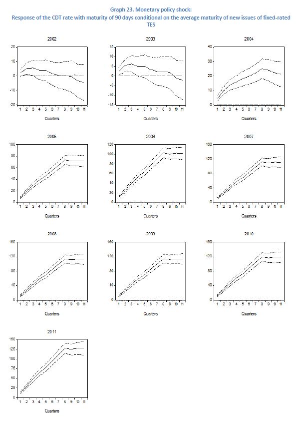
In the past decade the Colombian Economic Authorities undertook a series of measures that reduced the structural fiscal deficit, decreased the Government currency mismatch and deepened the local fixed-rate public bond market. This paper presents some evid
Description
Temática
Keywords
Keywords
Citation
Collections
Seleccionar año de consulta:

Esta obra está bajo licencia internacional Creative Commons Reconocimiento-NoComercial 4.0.
Este documento ha sido depositado por parte de el(los) autor(es) bajo la siguiente constancia de depósito





