Medidas de riesgo, características y técnicas de medición: una aplicación del VaR y el ES a la tasa interbancaria de Colombia
Loading...
Borradores de Economía; No. 343
Date published
2005-07-13
Date
2005-07-13
Part of book title
ISSN
ISBN
Document language
spa
Cargando estadísticas...
Las opiniones contenidas en el presente documento son responsabilidad exclusiva de los autores y no comprometen al Banco de la República ni a su Junta Directiva.
The opinions contained in this document are the sole responsibility of the author and do not commit Banco de la República or its Board of Directors.
Abstract
Description
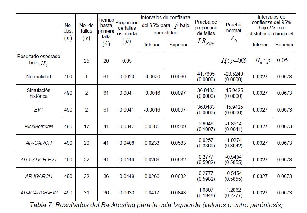
En este documento se describen en detalle diversas metodologías que permiten calcular dos medidas utilizadas para cuantificar el riesgo de mercado asociado a un activo financiero: el valor en riesgo, VaR y el Expected Shortfall, ES.Los métodos analizados se dividen en dos grupos. En el primer grupo, compuesto por las metodologías de normalidad, simulación histórica y teoría del valor extremo (EVT), no se modelan las dependencias existentes en el primer y segundo momento condicional de la serie. En el segundo grupo, las metodologías ARMA-GARCH y ARMA-GARCH-EVT modelan los dos tipos de dependencias, mientras RiskMetrics® modela solo la segunda.Estas metodologías son aplicadas a las variaciones diarias de la tasa interbancaria para el periodo comprendido entre el 16 de 04 de 1995 y el 30 de diciembre de 2004. El desempeño o backtesting del VaR calculado para diferentes metodologías en los años 2003 y 2004 muestra que las mejores son aquellas que modelan la dependencia de la varianza condicional, tales como los modelos RiskMetrics®, ARMA-GARCH y ARMA-GARCH-EVT. Las técnicas con el peor desempeño son la de simulación histórica, la EVT sin modelar dependencia y la basada en el supuesto de normalidad.
Temática
Keywords
Citation
Collections
Seleccionar año de consulta:

Esta obra está bajo licencia internacional Creative Commons Reconocimiento-NoComercial 4.0.
Este documento ha sido depositado por parte de el(los) autor(es) bajo la siguiente constancia de depósito





