La tasa natural de desempleo en Colombia y sus determinantes
Loading...
Borradores de Economía; No. 491
Date published
2008-02-20
Date
2008-02-20
Authors
Part of book title
ISSN
ISBN
Document language
spa
Cargando estadísticas...
Las opiniones contenidas en el presente documento son responsabilidad exclusiva de los autores y no comprometen al Banco de la República ni a su Junta Directiva.
The opinions contained in this document are the sole responsibility of the author and do not commit Banco de la República or its Board of Directors.
Abstract
This paper provides an estimation of the natural rate of unemployment for Colombia in 1984-2006. The model used is in the same spirit of Blanchard (1991)’s wage bargaining and uses a Kalman filter to estimate a system of equations for the natural rate of
Description
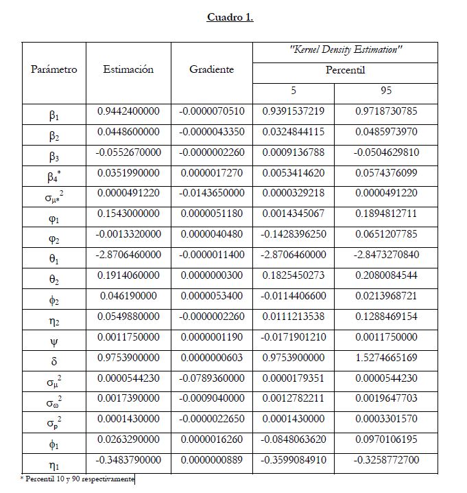
En este trabajo se estima una tasa natural de desempleo para Colombia en el período 1984-2006. Siguiendo el modelo de negociación de salarios de Blanchard (1991), se emplea un filtro de Kalman, para estimar un sistema de ecuaciones para la tasa natural de desempleo, el desajuste del mercado laboral, los salarios y los precios según la metodología propuesta por Salemi (1999). Los resultados de este ejercicio resaltan el papel de la participación joven en el mercado laboral y los costos laborales no salariales como principales determinantes de la tasa natural de desempleo. Asimismo, le restan importancia al papel del salario mínimo en dicha tasa natural, al tiempo que sugieren la existencia de ajustes del mercado laboral colombiano "vía precios".
Temática
Keywords
Citation
Collections
Seleccionar año de consulta:

Esta obra está bajo licencia internacional Creative Commons Reconocimiento-NoComercial 4.0.
Este documento ha sido depositado por parte de el(los) autor(es) bajo la siguiente constancia de depósito





