Surgimiento de la educación en la República de Colombia, ¿en qué fallamos?
Loading...
Borradores de Economía; No. 454
Date published
2007-09-13
Date
2007-09-13
Part of book title
ISSN
ISBN
Document language
spa
Cargando estadísticas...
Las opiniones contenidas en el presente documento son responsabilidad exclusiva de los autores y no comprometen al Banco de la República ni a su Junta Directiva.
The opinions contained in this document are the sole responsibility of the author and do not commit Banco de la República or its Board of Directors.
Abstract
Description
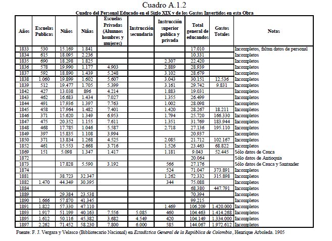
En este artículo se estudia la evolución de la educación primaria en Colombia durante el siglo diecinueve, y los factores que determinaron su desarrollo. Se exploran los posibles orígenes del fracaso y del lento progreso de la educación, los cuales llevaron a que Colombia a finales de ese siglo fuera uno de los países más atrasados del mundo en materia educativa. Se analiza también el comportamiento de la educación regional y cómo las disparidades entre los Estados tendieron a converger. Para estos propósitos, se ensamblaron y recopilaron series de frecuencia anual, tanto a nivel agregado como regional, sobre diferentes indicadores educativos cubriendo el 05r número de años posibles. Las principales razones, entre muchas, del fracaso en la masificación de la educación primaria en el siglo diecinueve en Colombia se pueden agrupar bajo el hecho que en Colombia no se presentó una estructura adecuada de incentivos que llevará a la expansión de la educación en el país dada la organización económica, política y social prevaleciente. Peor aún, a lo largo del siglo no se presentaron cambios en esta estructura de incentivos.
JEL Codes
Temática
Keywords
Keywords
Citation
Collections
Seleccionar año de consulta:

Esta obra está bajo licencia internacional Creative Commons Reconocimiento-NoComercial 4.0.
Este documento ha sido depositado por parte de el(los) autor(es) bajo la siguiente constancia de depósito





