Importancia de las rigideces nominales y reales en Colombia: un enfoque de equilibrio general dinámico y estocástico
| dc.audience | Policymakers | eng |
| dc.audience | Researchers | eng |
| dc.audience | Teachers | eng |
| dc.audience | Students | eng |
| dc.coverage.sucursal | Bogotá | spa |
| dc.creator | Bonaldi-Varón, Jean Pietro | |
| dc.creator | González-Gómez, Andrés | |
| dc.creator | Rodríguez-Guzmán, Diego Arturo | |
| dc.creator.firma | Diego A. Rodriguez-Guzman | |
| dc.date.accessioned | 2010-03-13T08:30:10Z | eng |
| dc.date.available | 2010-03-13T08:30:10Z | |
| dc.date.created | 2010-03-13 | |
| dc.date.issued | 2010-03-13 | |
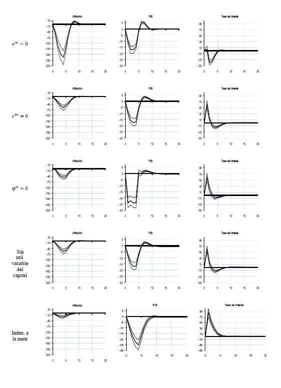
| dc.description | Este trabajo pretende determinar qué conjunto de rigideces nominales y reales se debe incluir en un modelo DSGE para replicar la dinámica de las variables agregadas de la economía colombiana. Con este fin, se estiman varios modelos DSGE con distintas combinaciones de rigideces nominales y reales usando métodos Bayesianos. Los resultados indican que el ajuste empírico del modelo está determinado, en orden de importancia, por la rigidez de salarios, la rigidez de los precios domésticos, los costos de ajuste a la inversión y la rigidez de precios de importados. Con respecto a la dinámica de corto plazo del modelo, la sensibilidad ante un choque de política monetaria depende en 05r medida de las rigideces de salarios, del tipo de indexación de precios y salarios y de los costos de ajuste de la inversión. | spa |
| dc.format.mimetype | spa | |
| dc.identifier.handle | https://hdl.handle.net/20.500.12134/5608 | spa |
| dc.identifier.uri | https://repositorio.banrep.gov.co/handle/20.500.12134/5608 | |
| dc.language.iso | spa | spa |
| dc.publisher | Banco de la República | spa |
| dc.relation.doi | https://doi.org/10.32468/be.591 | spa |
| dc.relation.dotec | https://ideas.repec.org/p/col/000094/006857.html | spa |
| dc.relation.ispartof | Documentos de Trabajo | spa |
| dc.relation.ispartofseries | Borradores de Economía | spa |
| dc.relation.isversionof | Borradores de Economía; No. 591 | |
| dc.relation.number | Borrador 591 | spa |
| dc.relation.repec | https://ideas.repec.org/p/bdr/borrec/591.html | spa |
| dc.rights.Habeas | Datos personales: El(los) autor(es) ha(n) incluido sus datos personales (nombres, correo electrónico, filiación académica, perfil académico, entre otros) en el Portal de Investigaciones o la obra remitida para publicación, y por consiguiente, manifiesta(n) que mediante el diligenciamiento y registro de sus datos personales autoriza(n) al Banco de la República el tratamiento (recolección, almacenamiento, uso, circulación o supresión) de todos los datos suministrados con la finalidad de adelantar la publicación de la obra en el Portal de Investigaciones, dar a conocer su perfil académico y medios de contacto para fines académicos y divulgativos, así como para la construcción de indicadores y estadísticas para el seguimiento y control de las actividades de divulgación del Portal de Investigaciones. Para tal fin, se informa que el tratamiento de los datos personales se realizará de acuerdo con las políticas o lineamientos generales disponibles en http://www.banrep.gov.co/proteccion-datos-personales, en la sección “Protección de Datos Personales - Habeas Data”. | spa |
| dc.rights.Objeto | Objeto de publicación: La obra de mí (nuestra) autoría tiene por objeto ser publicada en el Portal de Investigaciones del Banco de la República e incluirla en el repositorio institucional de esa misma entidad. La obra podrá consistir en documento escrito, audiovisual, audio, gráfico, fotográfico, infográfico, podcasts, etc., y podrá estar en cualquier formato conocido o por conocerse. | spa |
| dc.rights.accessRights | Open Access | eng |
| dc.rights.cc | Atribucion-NoComercial-CompartirIgual CC BY-NC-SA 4.0 | eng |
| dc.rights.disclaimer | The opinions contained in this document are the sole responsibility of the author and do not commit Banco de la República or its Board of Directors. | eng |
| dc.rights.spa | Acceso abierto | spa |
| dc.rights.uri | https://creativecommons.org/licenses/by-nc-sa/4.0/ | eng |
| dc.source.handleRepec | RePEc:col:000094:006857 | spa |
| dc.subject | Rigideces nominales | spa |
| dc.subject | Rigideces reales | spa |
| dc.subject | Modelo DSGE | spa |
| dc.subject | Estimación Bayesiana | spa |
| dc.subject.jel | E32 - Business Fluctuations; Cycles | eng |
| dc.subject.jel | D58 - Computable and Other Applied General Equilibrium Models | eng |
| dc.subject.jel | E22 - Investment; Capital; Intangible Capital; Capacity | eng |
| dc.subject.jel | E31 - Price Level; Inflation; Deflation | eng |
| dc.subject.jelspa | E31 - Nivel de precios; Inflación; Deflación | spa |
| dc.subject.jelspa | D58 - Modelos computables y otros modelos aplicados de equilibrio general | spa |
| dc.subject.jelspa | E22 - Inversión; Capital; Capital intangible; Capacidad | spa |
| dc.subject.jelspa | E32 - Fluctuaciones económicas; Ciclos | spa |
| dc.subject.lemb | Teoría bayesiana de decisiones estadísticas | spa |
| dc.subject.lemb | Precios -- Colombia | spa |
| dc.subject.lemb | Control de precios -- Colombia | spa |
| dc.title | Importancia de las rigideces nominales y reales en Colombia: un enfoque de equilibrio general dinámico y estocástico | spa |
| dc.type | Working Paper | eng |
| dc.type.hasversion | Published Version | eng |
| dc.type.spa | Documentos de trabajo | spa |
Files
Original bundle
1 - 5 of 11
Loading...
- Name:
- be_591.pdf
- Size:
- 1.55 MB
- Format:
- Adobe Portable Document Format
- FILE
- https://repositorio.banrep.gov.co/bitstream/handle/20.500.12134/5608/be_591.pdf
- Description:
- Borrador de Economia No. 591
Loading...
- Name:
- BDE-591-001.JPG
- Size:
- 123.24 KB
- Format:
- Joint Photographic Experts Group/JPEG File Interchange Format (JFIF)
- FILE
- https://repositorio.banrep.gov.co/bitstream/handle/20.500.12134/5608/BDE-591-001.JPG
- Description:
- Imagen 591-001
Loading...
- Name:
- BDE-591-002.JPG
- Size:
- 66.13 KB
- Format:
- Joint Photographic Experts Group/JPEG File Interchange Format (JFIF)
- FILE
- https://repositorio.banrep.gov.co/bitstream/handle/20.500.12134/5608/BDE-591-002.JPG
- Description:
- Imagen 591-002
Loading...
- Name:
- BDE-591-003.JPG
- Size:
- 172.41 KB
- Format:
- Joint Photographic Experts Group/JPEG File Interchange Format (JFIF)
- FILE
- https://repositorio.banrep.gov.co/bitstream/handle/20.500.12134/5608/BDE-591-003.JPG
- Description:
- Imagen 591-003
Loading...
- Name:
- BDE-591-004.JPG
- Size:
- 150.76 KB
- Format:
- Joint Photographic Experts Group/JPEG File Interchange Format (JFIF)
- FILE
- https://repositorio.banrep.gov.co/bitstream/handle/20.500.12134/5608/BDE-591-004.JPG
- Description:
- Imagen 591-004
License bundle
1 - 1 of 1





