Consumer credit performance over the business cycle In Colombia : some empirical facts
Loading...
Borradores de Economía; No. 861
Date published
2015-01-14
Date
2015-01-14
Part of book title
ISSN
ISBN
Document language
spa
Cargando estadísticas...
Las opiniones contenidas en el presente documento son responsabilidad exclusiva de los autores y no comprometen al Banco de la República ni a su Junta Directiva.
The opinions contained in this document are the sole responsibility of the author and do not commit Banco de la República or its Board of Directors.
Abstract
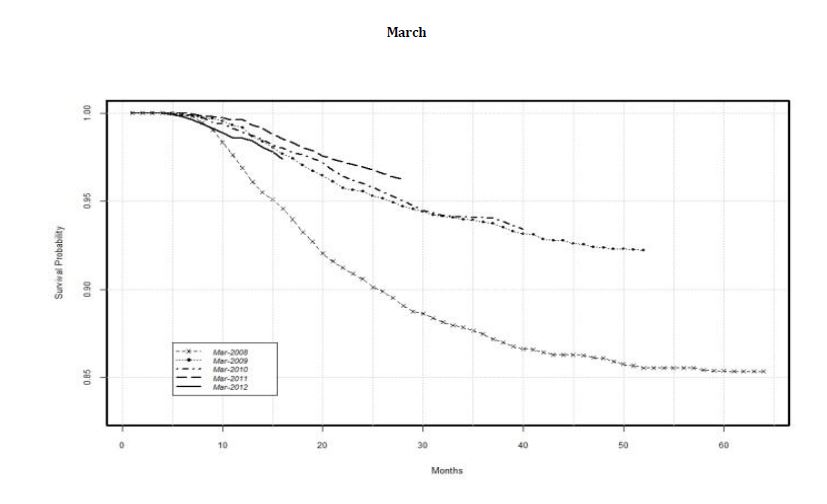
This paper studies the behavior of the survival function of accruing loans during the slowdown experienced by the Colombian economy between January-2008 and March-2009 as documented by Alfonso et al. (2013). We use a dataset with information of different
Description
Temática
Keywords
Keywords
Citation
Collections
Seleccionar año de consulta:

Esta obra está bajo licencia internacional Creative Commons Reconocimiento-NoComercial 4.0.
Este documento ha sido depositado por parte de el(los) autor(es) bajo la siguiente constancia de depósito