Aplicación de las herramientas de control de calidad en la compilación de estadísticas a través del tiempo
Loading...
Borradores de Economía; No. 665
Date published
2011-08-13
Date
2011-08-13
Part of book title
ISSN
ISBN
Document language
spa
Cargando estadísticas...
Las opiniones contenidas en el presente documento son responsabilidad exclusiva de los autores y no comprometen al Banco de la República ni a su Junta Directiva.
The opinions contained in this document are the sole responsibility of the author and do not commit Banco de la República or its Board of Directors.
Abstract
Description
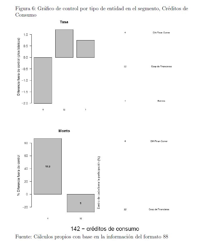
En este documento se presenta un algoritmo computacional para revisar y controlar ecientemente la calidad de la información de grandes volúmenes de registros administrativos recolectados periódicamente. La metodologüa utilizada para este propósito es conocida como TOP-DOWN, la cual se basa en un análisis inicial de datos agregados que a su vez determina la vericación de reportes individuales. Esta estrategia se aplica en los reportes de las tasas de interés activas reportadas por el sistema nanciero semanalmente a la Super nanciera y al Banco de la República. El algoritmo es implementado en R.
Temática
Keywords
Citation
Collections
Seleccionar año de consulta:

Esta obra está bajo licencia internacional Creative Commons Reconocimiento-NoComercial 4.0.
Este documento ha sido depositado por parte de el(los) autor(es) bajo la siguiente constancia de depósito