Banking productivity and economic fluctuations: Colombia 1998-2000
Loading...
Borradores de Economía; No. 192
Date published
2001-11-14
Date
2001-11-14
Authors
Part of book title
ISSN
ISBN
Document language
spa
Cargando estadísticas...
Las opiniones contenidas en el presente documento son responsabilidad exclusiva de los autores y no comprometen al Banco de la República ni a su Junta Directiva.
The opinions contained in this document are the sole responsibility of the author and do not commit Banco de la República or its Board of Directors.
Abstract
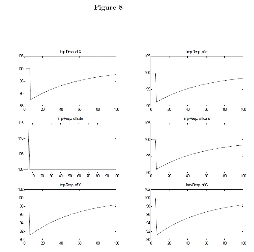
I build a general equilibrium, financial accelerator model that incorporates an explicit technology for the intermediary sector. A credit multiplier emerges because of a borrowing constraint that is a function of asset prices, internal funds and lending r
Description
Temática
Keywords
Keywords
Citation
Collections
Seleccionar año de consulta:

Esta obra está bajo licencia internacional Creative Commons Reconocimiento-NoComercial 4.0.
Este documento ha sido depositado por parte de el(los) autor(es) bajo la siguiente constancia de depósito





